
神经肌肉阻滞剂对中重度ARDS的异质性治疗作用:ACURASYS试验的事后马尔可夫模型重新分析
期刊:Intensive Care Medicine
作者:Michael Brunini Jean‑Marie Forel Xavier Muracciole Antoine Roch Dominique Barbolosi and Laurent Papazian
分区:中科院一区
影响因子:22.1
一、文章概述
通过马尔可夫链模型对原始数据进行了深度挖掘,其核心结论是:早期使用顺式阿曲库铵的生存获益并非普遍存在,而是高度依赖于患者的基线特征;分析显示,该治疗仅对年龄小于60岁且无致命性基础疾病(McCabe评分为非致命性)的患者亚组产生显著的生存改善(预计生存率从安慰剂组的63%提升至93%),而患者的初始氧合严重程度(PaO₂/FiO₂≤100或>100mmHg)并不影响该亚组的获益程度,这一发现揭示了ARDS治疗中存在显著的疗效异质性,将临床决策焦点从“是否治疗”转向了“为谁治疗”,为未来实现个体化精准医疗提供了关键依据。
二、研究背景
ACURASYS试验证实,早期持续输注顺式阿曲库铵可显著改善严重ARDS患者90天后生存率(风险比0.68)并减少气胸发生。
然而,ROSE试验(2019年)却得出了否定性结论:在采用高呼气末正压策略及更浅镇静目标的现代治疗背景下,早期肌松未能显示生存获益。
这两项高质量研究的结果矛盾,凸显了ARDS患者群体内在的异质性以及治疗效应可能存在的显著亚组差异。
因此,本研究旨在通过对ACURASYS试验原始数据进行深入的、模型驱动的事后分析,利用能够捕捉疾病动态轨迹的马尔可夫链模型,超越传统亚组分析,系统探索基线特征(如年龄、合并症负担、氧合水平)对顺式阿曲库铵治疗效果的影响,寻找被总体结果掩盖的获益人群特征,为实现ARDS的个体化精准治疗提供关键证据。
三、研究结果

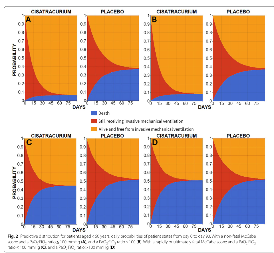
(一)、对于<60岁的患者:
顺式阿曲库铵能否提升生存率,关键取决于McCabe评分。
1.若为非致命评分,用药后生存概率的效应值高达+2.11(严重低氧)或+1.86(中度低氧),换算后生存率从安慰剂组的63%大幅提升至93%。
2.若为快速/最终致命评分,用药效应值接近0,生存率无显著改善(约47%vs54%)。
(二)、对于≥60岁的患者:
顺式阿曲库铵对生存率的效应值在0附近波动(-0.14到+0.19),意味着无论基础健康状况如何,药物均未显示出明确的生存获益。

<60岁,在入组时PaO2:FiO2比值≤100mmHg的患者中,顺式阿曲库铵组第90天的估计生存率为0.93,而安慰剂组为0.63。
对于入组时PaO2:FiO2比值>100mmHg的患者,相应的生存率分别为0.92和0.63。
在C和D面板中显示,治疗组与安慰剂组没有明显差异。

>60岁,效果范围从略微正面到略微负面,或者几乎为零
四、研究结论
顺式阿曲库铵(cisatracurium)对中重度ARDS患者的生存益处具有明显的患者选择性,主要取决于年龄和基础疾病严重程度。
1.对年轻(<60岁)且无致命性基础疾病(McCabe评分非致命)的患者:
顺式阿曲库铵能显著提高90天生存率(从安慰剂组的0.63提升至0.93)。
显著降低持续机械通气的概率,缩短通气时间。
无论基线氧合指数(PaO₂/FiO₂)如何(≤100或>100mmHg),均显示类似益处。
2.对年轻但有快速或最终致命性基础疾病的患者:
顺式阿曲库铵未显著改善生存率(安慰剂组0.47vs.顺式阿曲库铵组0.54)。
3.对老年(≥60岁)患者:
无论McCabe评分或氧合指数如何,顺式阿曲库铵均未显著影响生存率或机械通气持续时间。
五、创新与意义
1.马尔可夫模型则允许重建导致该状态的转变序列,从而提供更动态、临床相关的视角。在这一框架下,t 时刻观察到的结果被解释为前序事件的结果。
2.Monolix® 中使用的随机逼近期望–最大化(SAEM)算法提供了稳健且高效的参数估计,即使对于复杂模型如马尔可夫链也是如此。它处理缺失数据和分层纵向结构的能力提升了分析的可靠性。
文献链接及原文:https://doi.org/10.1007/s00134-025-08064-z