
右美托咪定治疗非插管ICU患者活动过度性谵妄:4D随机临床试验
期刊:Intensive Care Medicine
作者:Thomas Godet,Audrey De Jong,Gaël Pradel ,Emmanuel Futier,Samir Jaber,Bruno Pereira,Gérald Chanques 5,6 and Jean‑Michel Constantin
分区:中科院一区
影响因子:22.1
1、文章概述
该研究主要为评估右美托咪定(Dexmedetomidine)是否比安慰剂更有效地控制非插管ICU患者的躁动型谵妄,设计多中心、双盲、随机、安慰剂对照的临床试验,最终证实对于非插管的躁动型谵妄ICU患者,右美托咪定相比安慰剂:(1)更有效地控制躁动;(2)减少额外镇静药物需求;(3)不增加严重不良事件;(4)但对谵妄持续时间和插管需求无显著影响。认为在ICU中未插管且多动性谵妄患者中,其是一种有价值的替代方案。
2、研究背景
预防谵妄是成人ICU患者疼痛、躁动/镇静、谵妄、活动受限及睡眠障碍综合管理指南的核心内容。除预防措施外,关于躁动型谵妄的药物治疗尚存诸多未知。 与常规护理(主要使用丙泊酚)相比,早期使用右美托咪定镇静可增加无谵妄或无昏迷天数。然而在接受轻度镇静的机械通气患者中,右美托咪定与丙泊酚输注的预后无显著差异.尽管氟哌啶醇等抗精神病药物常被用于躁动症状及各类表型(低活动性或高活动性)谵妄的对症治疗,但其疗效有限且需谨慎权衡副作用。右美托咪定凭借其独特的药理特性——在提供清醒镇静与解焦虑作用的同时显著减少呼吸抑制——已成为替代方案,尤其适用于兴奋型谵妄。未插管的ICU患者在躁动控制需加强镇静时,将面临插管风险。 右美托咪定作为高度选择性α2受体激动剂,可提供镇静与解焦虑作用且不伴显著呼吸抑制。
3.1、研究人群

共有 344名 患者被评估为符合条件:
1.CAM-ICU 阳性(存在谵妄)。
2.RASS > 0(存在躁动)。
3.未接受有创机械通气。
对因急性病症入住重症监护室(ICU)且未插管的躁动性谵妄成人患者进行筛选。 根据法国法律规定,随机分组后共有17名患者退出研究:部分因代理决策者撤回同意,部分在恢复决策能力后主动退出(即使已接受研究药物)。另有4名参与者不符合纳入标准,2名出现排除标准,故未纳入方案分析。 主要结局数据无缺失,但5例患者(地西泮组3例,安慰剂组2例)的30天存活状态数据缺失。
3.2、实验过程
Day -30~0:伦理审批‧中心启动‧药房备药
Day 0:08:00/20:00床旁护士 CAM-ICU + RASS 筛查 → 触发入选
Day 0:T0 知情同意 → 基线数据采集(SAPSⅡ、MMSE、实验室)
T0+30 min网络随机 → 领取药液 → 双盲启动泵注(0.2 μg kg⁻¹ h⁻¹)
T0+35 min若 RASS ≥ +2 → 静推氟哌啶醇 2.5 mg(允许重复,日上限 30 mg)
Hour 0-36强制输注期
每1h RASS 评估 → 按算法调整剂量(±0.1 μg kg⁻¹ h⁻¹,上限 1.4)
每8h CAM-ICU + 生命体征 + 不良事件记录
每24h晨抽血、心电图、救援药物汇总
Hour 36(最早停药点) 若 CAM-ICU 连续 4 次阴性 → 停药;否则继续泵注
Day 1-7 ICU 内随访:记录谵妄复发、救援药、并发症、插管事件
Day 8 电话 / 病历确认 7 d 生存状态
Day 9-30 出院后随访:精神类药物使用、再入院、生存质量
Day 30 最终生存确认、数据库锁定、DSMB 审议
3.3、统计分析
主要终点分析
终点定义:三项复合指标:① 躁动持续时间(RASS ≥ +1)。② 谵妄持续时间(CAM-ICU阳性)。③ 因控制谵妄需插管并机械通气。
统计方法:使用 O’Brien复合Z评分法:① 每项指标标准化为Z分数。② 统一方向,平均三项Z分数。③ 乘以100得复合得分。④ 使用 Mann–Whitney U检验 比较组间差异。
多变量分析:采用 线性混合模型:① 调整预设协变量(如年龄、性别、基线RASS)。② 中心作为随机效应。
4、研究结果

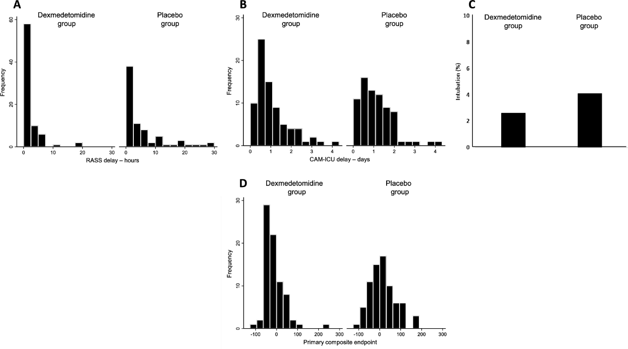
躁动持续时间(小时,RASS≥+1):中位由2h降至1h,效果显著
谵妄持续时间(天,CAM-ICU阳性):由1d降至0.8d,效果不显著
插管百分比:左2.6%,右4.1%,相差1例,无显著差异。
主要复合终点(躁动持续时间(小时,定义为RASS≥+1)、谵妄持续时间(天,定义为达到CAM-ICU阴性评分的时间)或插管(深镇静和机械通气)的复合评分,绝对值越大效果越差):右美托咪定优于安慰剂,差异显著。
5、研究结论
与安慰剂相比,给予右美托咪定在主要复合终点(包括躁动或谵妄持续时间、气管插管联合深度镇静和机械通气)时具有更大的临床获益。需要开放标签救援镇静药:58.4% vs 81.1%;氟哌啶醇使用:23.4% vs 40.5%;苯二氮卓类、抗精神病药用量均显著下降。该实验是首个评估非插管ICU患者躁动型谵妄的双盲RCT,采用护士主导的RASS/CAM-ICU标准化流程,外推性强,复合终点贴近临床阶梯式管理现实。右美托咪定可作为非插管ICU患者躁动型谵妄的首选镇静替代,显著快速控制躁动并减少额外精神药物负荷。躁动迅速缓解有助于保护导管、降低护理工时及患者自伤风险,但尚未证明可缩短住ICU时间或降低死亡率。安全性良好,低血压/心动过缓可控;适用于呼吸代偿边缘、需避免插管的高危躁动患者。
局限性:主要获益来自“躁动缩短1h”,谵忘与插管未显著改善。仅针对“躁动型”谵妄,结果不能推广至低活动或混合型。因中期分析显示主要终点显著,试验被提前终止。提前终止可能夸大效应;对罕见严重不良反应把握度不足。救援药物使用频率不一且未受控,可能混杂疗效归因,使右美托咪定的真实效应难以独立显现。筛查病例入选率不足五成,或排除病情过轻/过重患者,存在选择偏倚并进一步限制代表性。随访仅至30天,缺乏对认知功能、生活质量和长期神经心理损害的评估,长期获益与风险仍未知。研究仅纳入非插管的高活动性谵妄患者,结论无法推广至插管、低活动或混合性谵妄等其他重要人群。
6、创新与启发
创新:首次聚焦非插管 ICU 患者的躁动型谵妄,避开既往研究只关注机械通气人群的赛道。在保证患者安全的前提下,采用“双盲核心药物 + 开放标签救援”的设计,兼顾科学性与可操作性,为后续镇静/谵妄研究提供模板。把“躁动小时数、谵妄天数、插管需求”三种临床常见决策节点加权成单一 O’Brien Z-score,比传统指标更反映 ICU 医生处理逻辑。
启发:Dex 能显著缩短躁动,却未缩短 CAM-ICU 阳性天数,提示:控制外显症状 ≠ 逆转脑功能障碍;未来应把“镇静策略”与“谵妄疾病修饰治疗”分开评价,探索镇静效果。
Dex 组插管率绝对值降低 1.5 %,虽无明显优势,但侧面反映其没有呼吸抑制副作用,使医生更敢于早期镇静、避免病情升级,为高氧合需求但暂不需插管的 COVID-19、免疫抑制、肥胖等患者提供新选择。
65 岁患者复合终点效应量几近翻倍,提示未来试验可富集老年人群;机制研究应关注神经炎症与α2受体交互作用。
原文链接及原文:https://link.springer.com/article/10.1007/s00134-025-08135-1