
氟可的松在感染性休克中的剂量-反应关系——一项随机II期试验
期刊:Intensive Care Med(2024)
分区:中科院一区
影响因子:22.1
一、 核心问题
感染性休克患者常使用静脉氢化可的松治疗,但肠内联合氟可的松的最佳剂量及疗效尚不明确。本研究旨在验证:在标准氢化可的松治疗基础上,添加不同剂量肠内氟可的松(50μg/天、100μg/天、200μg/天)能否缩短休克消退时间,并评估其药代动力学特征与安全性.
二、研究设计
· 类型:多中心、随机II期临床试验。
· 人群:18岁以上感染性休克患者。
· 分组:
对照组:单用氢化可的松;
实验组:氢化可的松+肠内氟可的松(50μg/天、100μg/天、200μg/天,分1-4次给药)。
· 结局:
主要终点:休克消退时间(无需血管加压药维持目标血压≥24小时);
次要终点:28天死亡率、休克复发率、器官衰竭指标、安全性。
· 关键方法:通过液相色谱-串联质谱(LC-MS/MS)检测氟可的松血药浓度,评估吸收可靠性。
三.结果

1 .入组与基线特征
共筛选422例,最终153例纳入分析(对照组38例,50μg组42例,100μg组36例,200μg组37例)。基线显示:多数患者符合脓毒症-3标准(66%乳酸>2mmol/L);感染部位以肺部、血液、尿液为主;四组在年龄、性别、器官衰竭评分(SOFA)、乳酸水平等关键指标均衡。
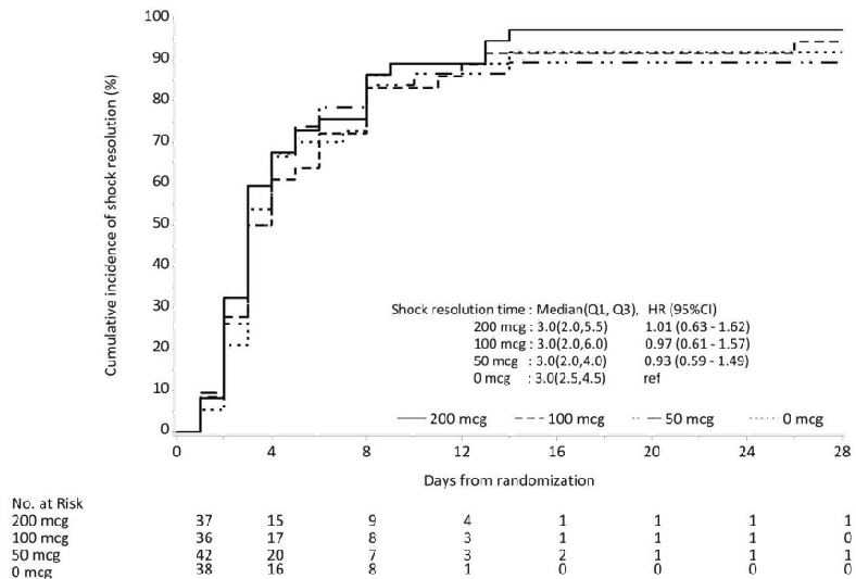
2.主要终点:休克消退时间无差异


四组休克消退中位时间均为3天,组间无统计学差异(P>0.05)。
3.次要终点:死亡率与安全性无显著差异

· 28天死亡率:对照组9/38(24%)、50μg组7/42(17%)、100μg组4/36(11%)、200μg组4/37(11%),组间无统计学差异(P>0.05)。
· 其他指标:
休克复发率、器官衰竭(SOFA评分变化)、机械通气时间、ICU住院时间等均无显著差异;
安全性:四组在电解质异常、液体平衡、新发感染等次要安全终点无差异
4.药代动力学:氟可的松吸收可靠但个体差异大
97%的氟可的松治疗患者在给药后3小时可检测到血浆浓度。虽然所有剂量组均可吸收,但个体间浓度差异显著,且剂量与浓度无明确正相关。
四、 研究结论
在标准氢化可的松治疗基础上,添加肠内氟可的松(50-200μg/天)未缩短感染性休克患者的休克消退时间,也未降低28天死亡率或其他临床结局风险;当前证据不支持常规联合氟可的松治疗感染性休克,需进一步III期试验优化剂量或筛选获益人群。
五、 启发
目前不建议常规联合氟可的松治疗感染性休克,需等待更大规模III期试验结果。未来探索皮质类固醇辅助治疗时,需重点关注药物吸收稳定性、个体化剂量调整及标准化终点。
文献原文: